深业·深嘉上府-上海(深业·深嘉上府)首页网站-2025最新房价+户型图+小区环境+配套

咸宁楼市发布

2025-06-30 21:46:00

购房群

买房如何避坑,加入购房群,看看他们怎么说

立即进群

首开价格大惊喜!「深业·深嘉上府」嘉定同济大学旁精装三房,火热认购中!

预约咨询热线:400-960-1656☎, 加微咨询:139 1616 5691(加微,不要来电,备注楼盘名字)

点击输入图片描述(最多30字)

点击输入图片描述(最多30字)

在今天的上海楼市,很多人越来越难下手。不是没房可选,而是怕选错。

说到底,现在买房最怕两件事:

一是买贵了——预算拉满,品质却配不上;

二是买错了地段——地铁远、配套空、兑现慢。

市场在变,真正的机会不再是“哪里热就买哪里”,而是看清板块的长期走向,选到价格的“洼地”、价值的“风口”。

就在刚刚,位于嘉定核芯的深嘉上府传出劲爆消息:项目已经取证,即将开启认筹!(认筹时间:2025年6月26日-6月30日上午)

单价约28446元/㎡起,就能买到真三房,精装交付,中央空调、地暖、新风三大件一步到位,连洗碗机、凉霸也标配入户,首开优惠还有大惊喜!

这些配置,放在当下“品质内卷”的市场里,可能不算罕见;

但真正罕见的是:这样的配置,往往出现在总价500万+的项目里,而深嘉上府,把它做到200多万的价位段。

嘉定安亭

国企钜制+全屋精装+同济大学旁

「深业·深嘉上府」

单价28446元/㎡起

建面约88-99m²品质3房

即将开启认筹

首开优惠还有大惊喜

预约咨询热线:400-960-1656☎, 加微咨询:139 1616 5691(加微,不要来电,备注楼盘名字)

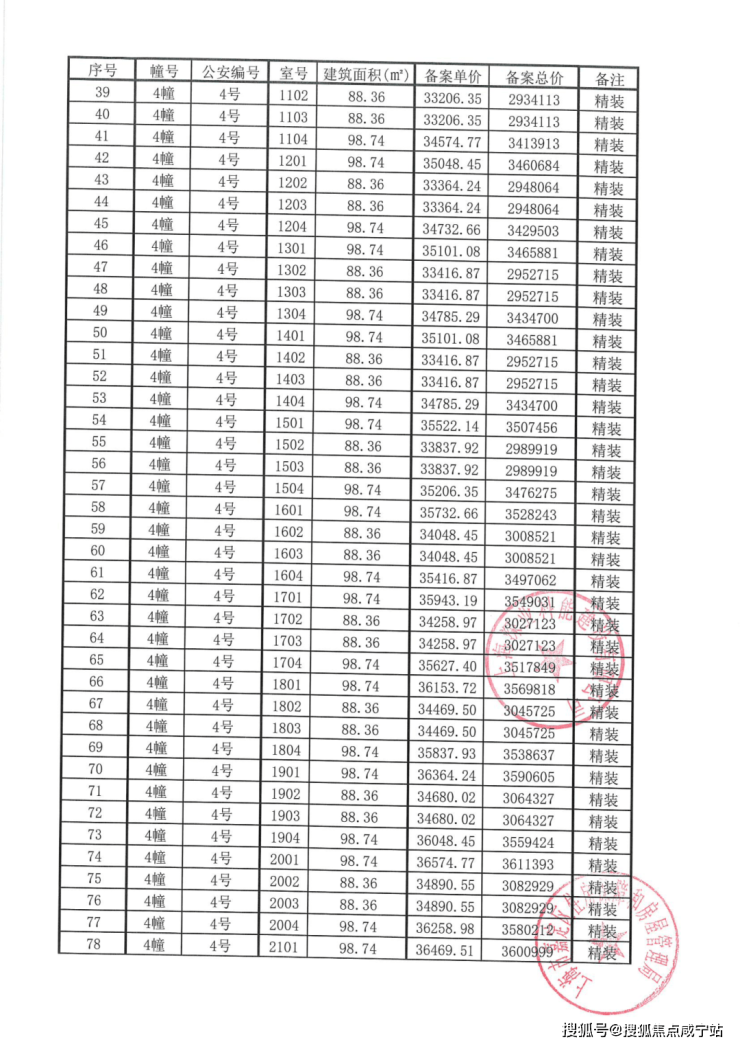
附一房一价表:

(上下滑动查看更多)

点击输入图片描述(最多30字)

点击输入图片描述(最多30字)

点击输入图片描述(最多30字)

01

单价约2.85万/㎡起买精装三房!买房巨优解来了!

2025年的上海楼市,正在进入一轮全面提价周期。

就在前几天,上海官方公布了新一批新房入市价格,其中多个热门板块的楼盘出现明显跳涨:

海上清和玺(洋房)比前期高层上涨约1.42万/㎡;

中海云邸玖章上涨约8600元/㎡;

上海壹号院上涨约4000元/㎡;

康定壹拾玖也上涨约2000元/㎡…

从市中心到外环、从改善盘到刚需盘,一股系统性的涨价潮正在蔓延全市。

就比如嘉定新城,新房三房总价普遍在500-600万,改善盘更是直逼“6”字头。

而仅两站之遥的安亭,深嘉上府单价约2.85万/㎡起,总价200多万就能拿下一套真正意义上的三房,还是精装交付,国企开发。

点击输入图片描述(最多30字)

示范区实景

这将近200万的差价,是什么概念?

是能用于孩子教育全周期的成本;还可以直接定存吃利息,对冲未来不确定性的安全感。

并且另一边,市场早已释放出强烈信号:

2025年3月,嘉定新城一幅地块经过49轮激烈竞拍,以31850元/㎡封顶成交,较相邻地块楼板价上涨38%。

地价在涨,房价的“补涨”也只是时间问题。

在这种大势之下,深嘉上府却坚持“定价克制”,为刚需留出一个高性价比低风险的上车机会,本身就是一种“稀缺红利”。

点击输入图片描述(最多30字)

样板间实景 仅供参考

02

板块唯一在售综合体住宅!开启一场生活方式革命!

如果说价格是敲门砖,那么生活方式的想象空间,则是项目的另一个价值壁垒。

买房从来不是单一维度的比拼,真正决定项目含金量的,是它能为居住者构建怎样的日常场景与生活质感。

而深嘉上府,在产品力、业态融合度上,也有着整片区域难以比肩的稀缺性。

作为当前板块内唯一在售的综合体住宅项目,深嘉上府自带约1万㎡自持商业+5.1万㎡商办。不仅填补了区域内复合业态的空白,也将“居住 + 生活 + 工作 + 社交”高度整合于一体。

点击输入图片描述(最多30字)

这是一个真正意义上的“24+1小时生活场”,一切都在家门口半径内完成。

点击输入图片描述(最多30字)

效果图

工作日的早晨不用早起通勤,几步即达办公楼,从容开启高效工作。

周末睡到自然醒,下楼就是咖啡馆与轻食店,开启松弛的一天。

下班后逛逛精品超市,吃完晚饭顺路健身,生活节奏自在有度。

孩子放学后,教培、托管、书店、影院一应俱全,学习与放松一站搞定。

朋友来访,不必奔波,楼下就是聚会的理想场所。

这里不仅是一处居所,更是为家庭、事业、生活定制的场景空间:下楼即生活、出门即精彩。

更为关键的是,这样的生活方式不是对未来想象,而是从入住深嘉上府的那天起,就可兑现的真实生活图景。

03

三大件+洗碗机+凉霸,这个刚需房太超配了!

这样高密度的生活复合度,背后更需要强大的产品力与品牌支撑作为底座。

深嘉上府的“完成度”,是源于深业这个国企在人居产品打磨上的多年经验沉淀。

作为国资委直属国企,深业集团成立40余载,目前项目覆盖20个省,58个城市,全国项目总量608个。连续多年荣获“中国房地产百强企业”“中国房地产开发企业稳健经营10强”“中国房地产年度社会责任感企业”等殊荣。

在深嘉上府这个项目,深业也倾注了最大的诚意:把门槛降到尽可能低的同时,把体验拉升到更高。

项目并没有因为定价“友好”就牺牲品质,甚至很多你在市区7万+/㎡项目里才能看到的配置,这里都有。

项目共规划4栋住宅楼,整体采用一字型横向排布,楼栋之间无遮挡,视野开阔。同时,所有楼栋均向东偏转35°,较大限度延长日照时间,确保户户充分享受阳光照射。

点击输入图片描述(最多30字)

深嘉上府效果图

在外观设计上,项目采用玻璃幕墙+顶部金色格栅塔冠设计,呈现出更强的通透感与质感,低调中不乏辨识度。

点击输入图片描述(最多30字)

深嘉上府效果图

项目的高品质不止于外观,更体现在归家与生活的每一细节。

点击输入图片描述(最多30字)

地上地下双精装大堂,归家仪式感十足,这是市区高端改善楼盘才有的配置。

点击输入图片描述(最多30字)

效果图 仅供参考

在社区内部,深嘉上府通过丰富的洄游动线,串联阳光草坪、童梦乐园、全龄运动等,打造全龄的活动空间。

同时,利用架空层空间,拓展出星空健身房、共享书吧、四点半学堂等公区配套,将家家户户的“生活”延伸到了社区之中,满足育儿、健身社交、充电学习等多维需求。

点击输入图片描述(最多30字)

点击输入图片描述(最多30字)

效果图 仅供参考

这种产品力,不只是外在,更落实在日常居住体验的点滴之中。

深嘉上府主力户型为建面约88㎡、99㎡的三房,整体布局没有过度“炫技”,但结构扎实,更注重空间的合理分配与功能的均衡性,属于典型的实用型高分户型。

在这里,刚需与初改都能找到心仪的家。

1)建面约88㎡ 三房两厅一卫

在紧凑面积内做到三房配置,最考验的从不是房间数量,而是如何在功能完整的同时,不牺牲舒适度。

深嘉上府约88㎡户型,将三房两厅一卫的布局打磨得非常成熟。

点击输入图片描述(最多30字)

建面约88㎡户型图

整体为三开间朝南,客厅拥有近似百平产品的面宽感受。这个尺度,在同面积段产品中非常罕见。

建面约88㎡样板房实景 仅供参考

厨房采用U型操作台设计,操作动线紧凑高效,真正从实用出发。

餐厅区域则可以轻松容纳四人位以上的餐桌,不显拥挤。

点击输入图片描述(最多30字)

建面约88㎡样板房实景 仅供参考

空间赠送也相当实在:全屋飘窗设计,连浴室都未遗漏,大幅增加了可利用空间。

北侧的房间更可灵活改造,无论用作书房、客卧还是儿童房,都有充足的可变性。

点击输入图片描述(最多30字)

建面约88㎡样板间实景 仅供参考

2)建面约99㎡ 三房两厅两卫

在目前市场上,99㎡户型往往是刚需与初改的“重叠带”,更需要兼顾实用性与舒适度的平衡。

深嘉上府的99㎡户型,做到了空间感、舒适度、实用性三者兼备。

点击输入图片描述(最多30字)

整体三开间朝南,采光充足。客餐厅采用一体化等宽通厅设计,动线流畅,尺度感被有效拉开。同时,厨房与阳台的开窗面难得的实现了对齐,做到真正的南北通透。

点击输入图片描述(最多30字)

建面约99㎡样板间实景 仅供参考

点击输入图片描述(最多30字)

建面约99㎡样板间实景 仅供参考

主卧位于户型最深处,套房式私密设计,独立性较强。

全屋飘窗配置,涵卧室卧、厨房及淋浴间,带来约4㎡的额外实得面积,不仅提升整体采光、延展使用边界,也大大节省了置业成本。

建面约99㎡样板间实景 仅供参考

更难得的是,在如今成本普遍控制趋紧的背景下,深嘉上府在装标上几乎是“向上看齐”:

新风系统、地暖、日立中央空调三大件全系标配;墙面铺设定制墙布,地面采用多层实木复合地板,质感在线;

厨房内的洗碗机、凉霸等设备也都在交付范畴,诚意十足。

这不仅是一个买房机会,更像是深业在200万+市场,发起的一次高配平权革命——打破“高配=高价”的惯例。

点击输入图片描述(最多30字)

04

交通+产业大升级!板块价值提前兑现!

在“大虹桥”最新的规划草案中,安亭正式被纳入大虹桥范畴,这也意味着区域各项资源以及规划的升级。

比如交通的升级。

以安亭北站、安亭西站为核心的安亭枢纽,是打通长三角一体化和虹桥国际开放枢纽的链接通道,在上海2035规划中,宝嘉线、嘉青松线即将启动,嘉安高速延展嘉定向东,与宝山互通。

14号线西延有望于2026年启动建设,未来将从安亭一路直连陆家嘴核心,彻底打通城市主轴。

点击输入图片描述(最多30字)

深嘉上府距离规划中的地铁14号线西延伸线同济大学站直线约300米,是真正意义的地铁盘。(数据来源:百度地图)

点击输入图片描述(最多30字)

再比如,产业的升级。

安亭被定位为“产城全面融合的世界级汽车产业中心”,区域内的氢能港总部基地、上汽研发中心、中德产业园等高能级企业群体,高能级产业集群持续落地。稳定就业+导入人群+消费升级,这才是区域能真正升值的底层逻辑。

除了交通、产业的升级,深嘉上府周边的各项生活配套,也很完善。

点击输入图片描述(最多30字)

区位图

商业方面,除了自带的1万㎡商业,项目3公里范围内汇聚嘉亭荟、三德广场、财富广场等大型综合体,日常购物、休闲娱乐全方位覆盖。

点击输入图片描述(最多30字)

教育资源方面,一路之隔为同济大学嘉定校区,周边配套同济附属小学、黄渡中学、华师大双语学校等优质学府,全龄段优教资源环绕。(新房不承诺学区、最终学区以官方公示为准)

点击输入图片描述(最多30字)

医疗方面,项目周边有瑞金医院北院、东方肝胆医院安亭分院两所三甲医院,以及瑞金医院安亭分院、黄渡社区卫生医院等,为家庭健康保驾护航。

此外,周边还有嘉北郊野公园、安亭汽车博览公园、远香湖公园、嘉定紫藤园等绿色生态配套环伺,推窗见绿,宜居宜养。

点击输入图片描述(最多30字)

写在最后:

当市场回归理性,真正值得买的房子,不是去风口追高,而是占据价值起点。

深嘉上府,是“当下可负担+未来可兑现”的黄金组合。

单价28446元/㎡起,即可拥享城市综合体的繁华、地铁口的便利、真三房的舒适格局,以及中央空调、地暖、新风、洗碗机、凉霸等全维精装配置,真正做到一步到位。

深嘉上府,不只是家的选择,更是一次占位城市核心资源、锁定未来红利的智慧决策。

嘉定安亭

国企钜制+全屋精装+同济大学旁

「深业·深嘉上府」

单价28446元/㎡起

建面约88-99m²品质3房

即将开启认筹

首开优惠还有大惊喜

预约咨询热线:400-960-1656☎, 加微咨询:139 1616 5691(加微,不要来电,备注楼盘名字)

全部

相关资讯

报名成功
稍后会有专业的置业顾问联系您
返回楼盘

频道导航

返回首页

看房小程序

APP下载

电话拨通后,请您手动拨打分机号

确定拨打电话

电话号码:

分机号:(可能需要拨分机号)