建发联发青云上售楼处电话→建发联发青云上售楼中心电话→建发联发青云上楼盘详情→首页网站→楼盘百科→建发联发青云上售楼处电话→24小时热线电话

搜狐焦点宣城站

2025-12-20 09:17:19

购房群

买房如何避坑,加入购房群,看看他们怎么说

立即进群

售楼处官方预约热线:400-885-1337

浦东曹路「建发联发青云上」建面约95/116㎡三房,均价约5.15万/㎡!

⛩项目名称:「建发联发青云上」

👑项目简介:浦东曹路 高品质住宅

🗣最新动态:正在热销中

📍区域板块:浦东曹路

🏠产品介绍:推出建面约95/116㎡高层,均价约5.15万/㎡

🛍️商业配套:中惠棠里、恒越荣欣广场

🚇交通配套:崇明线(在建中)

🏥医疗配套:曹路社区卫生服务中心、上海长征医院浦东分院(在建中)

1地段

曹路板块位于浦东新区的东部,与金桥、外高桥、唐镇相邻。这三个板块均是产业聚集区域,金桥开发区聚焦于三大产业——未来车、新通信、智能造,以浦东1/50的土地贡献了浦东1/4、上海1/15的工业经济规模;外高桥保税区是中国第一个保税区;唐镇北部为上海重点打造的金融信息服务产业基地。

从地块规划的信息来看,中小套户型的要求占比为60%;500万内的刚需小三房为主。

交通便利:地块距在建崇明线一期凌空北路站约1公里以内(步行约950米左右),待崇明线一期2026年开通后,通过换乘12号线可达杨浦、虹口、静安、黄浦、徐汇等核心区域,换乘9号线可直达陆家嘴,交通能级将大大提升;

此外,地块周边绕城高速、外环高速环绕,距离外环高速入口直线距离约3.2公里,驾车约15分钟。

示意图

周边配套:

地块3公里范围内各类配套齐全,生活便利,商业配套有中惠棠里、恒越荣欣广场等;

实景图

医疗配套有曹路社区卫生服务中心等;未来,还将新增一座三甲医院——上海长征医院浦东分院,预计将于2024年建成,届时医疗能级也将大幅提升。

效果图

教育方面12-01地块东侧在建幼儿园,预计2023年7月份竣工,15-01地块南侧在建初中和小学,预计2024年6月份竣工备案完成移交教育局开办,预计招生时间2024年9月(具体以教育局为准);

板块市场:

板块内目前无在售项目,板块内近年来唯一出让的普通涉宅地是距离地块3.4公里的招商璀璨城市,房地联动价45000元/㎡。该宗地块为商住用地,住宅面积5.1万方,占比30.9%;商业面积11.3万方,占比69.1%。

项目于去年7月首开,房价达到54000元/㎡,首开认购率178%,入围分67.59,2个月后加推,开盘认购率154%,入围分62.76,两次均开盘即售罄,热度极高。

2产品

地块名称:浦东新区曹路基地15-01地块四至范围:东至金拓路,南至15-02地块,西至金开南路,北至民秋路建设用地面积:23556㎡(35.33亩)规划建筑面积:47112㎡用地性质:住宅用地起始价:12.15亿元成交价:13.365亿元成交楼面价:28369元/㎡溢价率:10%竞得人:建发&联发房地联动价:51500元/㎡

根据出让合同显示,项目需配建5%以上的保障性住房,全装修比例50%,要求中小套户型不得低于住宅总建筑面积的60%,容积率2.0,限高50米,住宅套数下限496套,套均面积约95㎡!

据浦东新区官网显示,上海第二轮土拍上半场中,建发+联发拿下的15-01地块;

项目户型图

主卧套房

独立卫浴,尊崇惬意起居生活

三开间朝南

让阳光与清风 交织心灵的温暖

餐客厅一体化

扩容活动空间,延伸家居享受

样板间实拍图

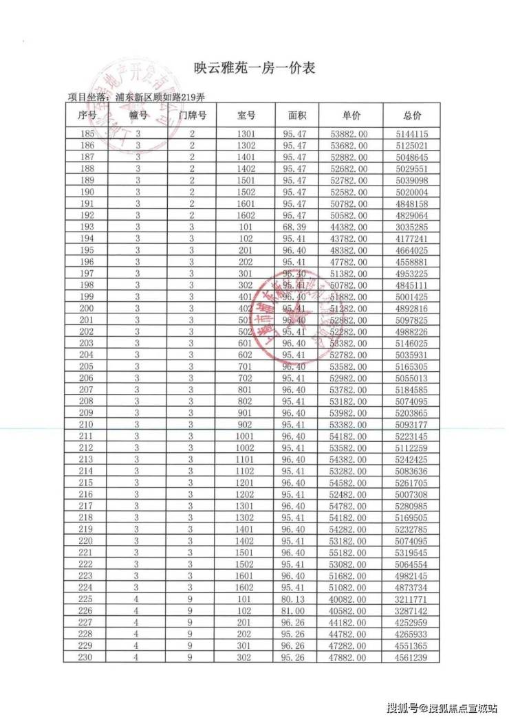
一房一价表

售楼处官方预约热线:400-885-1337

作为中国楼市风向标,2025年上海房地产市场呈现鲜明分化特征:新房市场结构性升温与二手房调整承压并存,政策宽松托底与高库存压力交织,正经历供需重构与价值回归的深度调整。

新房市场“高端坚挺、刚需活跃”的两极分化显著。国家统计局数据显示,2025年9月上海新房价格环比上涨0.3%,前9月均价同比上涨5.8%,核心驱动力来自核心区优质改善房源。9月入市的43个楼盘中,内环内项目占7个,单价超10万/㎡的豪宅达14个,网红项目持续热销;宝山、嘉定等区域的高性价比刚需盘,凭借完善配套与友好总价保持活跃度。而中端改善型项目表现平淡,部分尾盘降价促销,结构性差异突出。

二手房市场深陷“高库存、缓去化、价续跌”周期。截至11月中旬,上海二手住宅挂牌量仍达35.5万套,虽阶段性去化1.67万套,但压力未获实质缓解。11月全市二手房均价52677元/㎡,环比下跌1.23%,远郊区域跌幅超4%,核心区也呈微降态势。成交端虽有短期脉冲,11月前15日成交11311套,单日最高破1120套,但多为“以价换量”,300万以内低总价老公房占比达61%,业主议价空间扩大,“挂牌即降价”成普遍现象。

政策宽松成为市场重要托底力量。2025年8月“825新政”后,上海房贷政策持续优化:首套商贷利率低至3.05%,二套3.09%;公积金贷款额度提升,夫妻双方最高可贷160万,多孩家庭达192万,有效降低购房成本。政策效果逐步渗透,9月二手住宅成交同比增幅38.67%,房价同比降幅收窄,但红利传导存在结构性差异,对新房拉动更明显,二手房仍需时间消化库存。

后市,分化格局或将持续。新房市场中,核心区高端项目与远郊刚需盘仍将保持活跃,涨幅有望收窄;二手房“以价换量”为主,学区房、地铁房等稀缺房源跌幅或率先收窄,老旧、远郊房源去化压力仍存。年末传统淡季临近,若无更大力度政策利好,调整周期可能延长,但上海核心城市的人口与资源集聚力未变,房价泡沫已充分挤压,回稳基础逐步筑牢。

对于购房者,当前是机遇与挑战并存的窗口期:刚需可把握政策红利与业主让利,聚焦配套成熟的低总价房源;改善型买家需注重核心价值,优选地段、物业兼具优势的资产;上海楼市已告别普涨时代,进入“精挑细选”的价值投资新阶段,唯有契合真实居住需求与核心价值的房源,方能在调整中站稳脚跟。

全部

相关资讯

报名成功
稍后会有专业的置业顾问联系您
返回楼盘

频道导航

返回首页

看房小程序

APP下载

电话拨通后,请您手动拨打分机号

确定拨打电话

电话号码:

分机号:(可能需要拨分机号)