华发海上都荟售楼处电话:400-9659-259
华发海上都荟官方电话:400-9659-259
华发海上都荟官方电话:400-9659-259...(预约热线)➨华发海上都荟官方售楼处电话地址☎:400_9659-259√√⭐来电可了解楼盘最新动态、在售房价优惠、户型面积房源、交房时间、地铁商业、学区配套等信息!专业销售顾问将为您提供一对一贴心服务,全程陪伴您的购房之路!
编辑

华发海上都荟售楼处电话:400-9659-259
松江洞泾板块
9/12号线(西延伸在建) 双轨交盘
「华发海上都荟」
主力建面约91-101㎡高层
&约90-136㎡叠加
约450万级拿下,双地铁口高配3房
首开4.91万/㎡超高性价比肉眼可见
作为自带流量基因的红盘,上海楼市少有的双轨交新盘——华发海上都荟一直备受购房者关注。项目首开现场人气爆棚,热度非凡,堪称一场全市级的盛宴。
项目 首开当月劲销7成,约200余套房源名花有主,总销金额高达约11.5亿!
编辑

编辑

火爆的背后是市场对项目的青睐。
除了双轨交优势,项目无论是 硬核产品、 高配精装、还是 性价比、 区域发展潜力等等方面,放在全市范围内来看,都具有压倒性的优势,不难想象项目为何首开就劲销。
松江洞泾板块
9/12号线(西延伸在建) 双轨交盘
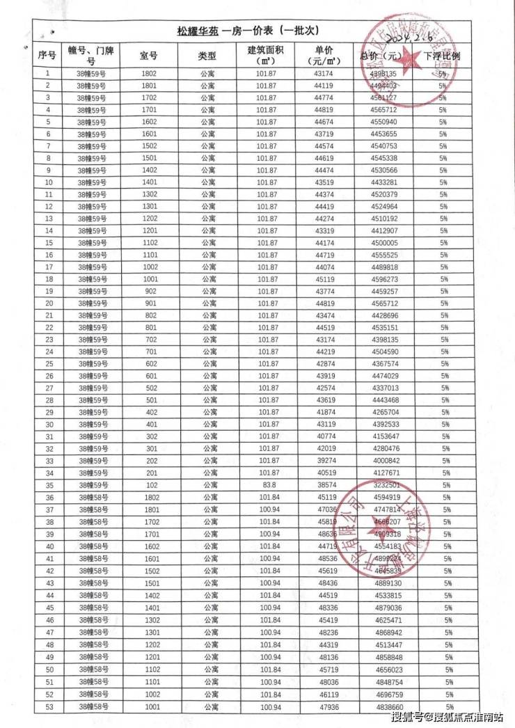
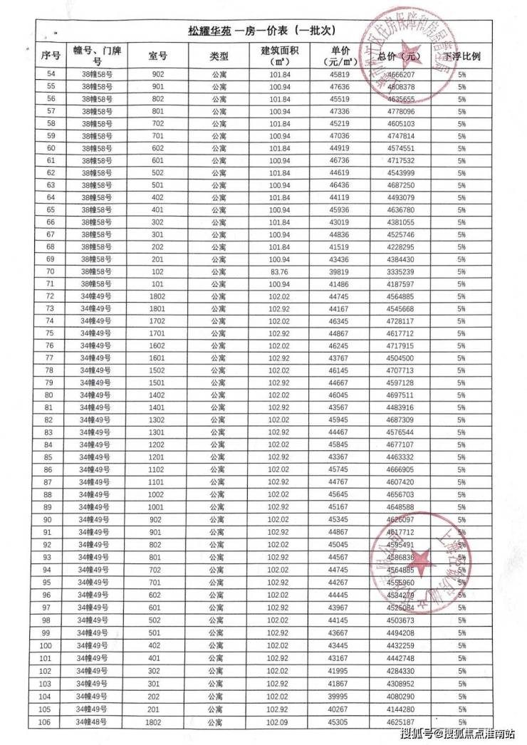
「一房一价表」
编辑

编辑

编辑

编辑

编辑

编辑

编辑

编辑

编辑

编辑

编辑

华发·海上都荟 项目位于松江洞泾板块,洞泾位于整个松江城区北部,东连新桥,西傍余山国家级度假区,南邻中山街道,北接泗泾。随着《洞泾镇国土空间总体规划(2020-2035)》出炉,锚定“大象起舞、精准发力、中部崛起”的发展定位,以“一核两轴一带”为引领,洞泾镇正抓紧重构城镇空间发展新格局,承接虹桥国际开放枢纽中央商务区辐射,高起点规划建设“洞泾未来湾”,打造松江北部新地标,构建“街区”“园区”“小区”三个层次的高品质人居环境典范。
编辑

乘着轨交12号线西延伸段和沪松快速路即将开建的春风,加快构建产城融合发展的空间结构体系。再过不久,一个集科创、人文、生态于一体,涵盖地铁上盖商业、高品质科创办公、综合文化中心、高端教育配套和古镇特色商业等五大功能的综合性地铁TOD(以公共交通为导向的开发)开发区域即将在原砖桥贸易城地块拔地而起。届时,洞泾镇将沿沪松公路与莘砖公路打造生态廊道,未来湾南北区域打造TOD综合活力中心、都市运动中心,形成“一廊双心”空间发展轴线。
现在上海卷产品力
都卷成这样了
一个项目刚开始接待客户
就把会所、入户大堂、交付车库等等
一系列能呈现
项目位于松江洞泾
华发海上都荟
公区
豪华的入户大堂、下沉式花园
悬浮客厅、咖啡书吧
儿童游乐室、生鲜超市
健身房、星空顶地下车库
满屏所见即所得
都是交付给你的
打卡拍照圣地
你家就是顶流
编辑

编辑

编辑

编辑

编辑

编辑

编辑

当你已经觉得满分
人家内部做的更细致
三大件给大家配齐的
进口霍尼韦尔的新风
AO史密斯的地暖+空调
5w+的楼盘
三大件往往,全国产是常有的事情
而华发这次真的给力
厨房更是配备了
只有10w+豪宅中才会配备的西门子的燃气灶+抽油烟机
更是贴心的加配了洗碗机
正是考虑到年轻人不爱洗碗的这一大痛点
卫生间洁具全套的科勒
基本信息
2023年7月11日,华发70.631亿元竞得松江区洞泾镇SJS30006单元04-04、05-01、05-05号地块,成交楼板价25850元/㎡,房地联动价50000元/㎡。
编辑

该项目地块距离9号线洞泾直线约400米,在建地铁12号线西延伸段直线约600米。四至范围:东至百尧村路,南至联营村路,西至04-03地块,北至城桂路。
华发海上都荟占地超13万㎡,被道路分割成三个地块,北靠城桂路、道路对面就是规划幼儿园;南临联营村路;西至嘉松南路绿化带;东面是百尧村路,紧邻一条天然河道大张泾。
首批次即将推售的是位于中间的地块,西边是城隆路,东边是一条自然水系,从本地块步行约600米左右即到9号线洞泾站,未来步行6/700米也能到达12号线洞泾站,在三个块地块中均衡性较好。
编辑

根据项目规划设计方案,拟建56幢4-18F的住宅、保障房以及其他配套用房。
网上资料显示,该地块可售住宅约2700套,项目预计将由高层住宅、6层洋房或叠墅、4层叠墅组成。
具体经济指标如下:
编辑

编辑

04-04地块:
占地面积44871㎡ 容积率2.1,8栋18F住宅 6栋6F住宅 6栋4F住宅,住宅套数942套。
05-01地块:
占地面积52003.6㎡ 容积率2.1,9栋18F住宅 6栋6F住宅 5栋4F住宅,住宅套数1055套。
05-05地块:
占地面积36806.1㎡ 容积率2.1,7栋18F住宅 6栋6F住宅 2栋4F住宅,加保障房 住宅套数735套。
户型分布示意图:
编辑

04-04地块:
占地面积44871㎡ 容积率2.1
8栋18F住宅 6栋6F住宅 6栋4F住宅
住宅套数942套
编辑

设计方案公示图@图源网络
05-01地块:
占地面积52003.6㎡ 容积率2.1
9栋18F住宅 6栋6F住宅 5栋4F住宅
住宅套数1055套
编辑

设计方案公示图@图源网络
05-05地块:
占地面积36806.1㎡ 容积率2.1
7栋18F住宅 6栋6F住宅 2栋4F住宅
加保障房 住宅套数735套
编辑

02
推售信息
产品方面,项目 推建面约91—101㎡3房2卫&建面约90-136㎡叠墅!
编辑

编辑

编辑

先看项目的高层户型。
首先,项目的整盘联动价为5万/㎡,那么高层的均价大概率低于5万/㎡,还是精装交付,单价上就比同纬度其他板块更具性价比!
其中,项目主力高层户型都是建面约101㎡3房,客户选房无需纠结全部都在射程范围之内,同时带来了较为统一的圈层。
最后,项目的户型设计水准是真的高,来看详细解读:
①建面约101㎡F&G户型:南北通透+三开间朝南,备受认可的飞机户型!
编辑

编辑

建面约101㎡的F和G户型都是市面上备受认可的飞机经典款户型。
南北通透保证了良好的通风效果, 三开间朝南保证了充足的光照。
客餐厅厨一体化+大尺度观景阳台,整个公区几乎没有面积浪费,营造的空间感和尺度感远超同价位其他竞品!
主卧套房设计,自带衣帽间和独立卫生间,舒适度与私密性兼具!
全卧室飘窗、干湿三分离、U字型厨房设计,细节把控到位!
②建面约101㎡H户型:三面采光,全能景观王炸边厅户型!
编辑

同样是3房2卫的配置,功能性与舒适度兼具。
该户型惊艳的地方在于大尺度的景观边厅设计,搭配超大阳台, 营造IMAX级别的客厅景观面,极具阔绰感!
全卧室飘窗、干湿三分离、U字型厨房设计,同样的魔鬼细节!
除了高层户型,项目还有建面约90-133㎡叠墅。作为居住业态的高阶形态,叠墅已然是很多人的置业梦想!
· 得房率:叠墅因为有更多灵动空间,得房率要高的多。
· 空间可塑性:相比“一层不变”的生活,叠墅生活情境更立体,更个性化。
· 上下分层:叠墅相比平层能更好照顾各家庭成员的生活习惯,适合多代人共居。
· 身份更有荣耀感:叠墅形态更高级,面子上更有满足感。尤其是30岁左右,就圆梦墅居,生活层次的进阶让内心有一份自豪感!
而如今,华发·海上都荟居然打造了 建面约90㎡的时尚叠墅产品,低总价圆满墅居,这样的置业机会不可错过!
当然项目建面约116-133㎡叠墅都实现了 4房功能性,无疑是适配二胎家庭的终极改善产品!
编辑

编辑

编辑

编辑

编辑

板块解读
从前默默无闻,如今要站起来了?
源于12号线(西延伸段在建)
但,不仅因为12号线(西延伸段在建)
其实,之前制约区域发展的,依然是交通问题,别说其他区的人不进来,就连隔壁板块的人,无论是刚需还是改善,都不太会考虑来这里。
这让松江,在过去很长一段时间,严重缺乏活力!虽然地理位置,北接泗泾,东侧即是松江最大产业G60科创走廊和莘闵别墅区,甚至位置相比松江新城更靠近市区。
12号线的西延伸(在建),确实有望盘活这片区域。
编辑

12号线西延伸段(在建)
ps:12号线西延伸(在建),2022年6月批复,8月公示选线规划,12月正式动工。 其他轨交平均2年零3个月走完的流程,12号线西延伸(在建)仅用了半年。
这足以证明12号线西延伸(在建)对于松江,乃至整个上海的意义。在上海,已经有太多的案例证明,轨交新动作的开始,就是板块价值蜕变的开始。
这里将迎来更多的新鲜人口!
首先是居住在松江,上班在其他区的居民,出行方式唯有9号线一条,而早高峰时段,9号线佘山站的时候,就已经很多人了,到了泗泾站,更是到了几乎天天限流的阶段。
等到12号线西延伸(在建)开通,那么,9号线的客流不仅能得到缓解,且在洞泾站上车的人,还有了非常诱人的“终点站”优势!比如居住在泗泾南面,泗泾塘以南的居民,多了出行的选择!再者, 12号线(西延伸段在建)将直达G60科创走廊、穿过莘闵别墅区,衔接闵行古美、徐汇康健田林、龙华、徐汇滨江....再到达淮海路、杨浦滨江,链接浦东...
而且,松江的房价,还是更亲民的!
先看9号线泗泾站的地铁房,商品房像保利翡丽公馆,在6-7万/㎡;其他小区,也基本在4-5万/㎡;
松江新城站,三湘四季花城,在5.7-5.8万/㎡;新房指导价,高层则在5.95万/㎡;
编辑

数据来源:链家二手房
而这里塘和家园(动迁房),3-4万/㎡;长泰西郊这样的独栋别墅小区,单价也仅在5.4-6万/㎡,新房指导价,高层在5万/㎡,洋房+联排小区,指导价经过一轮涨价以后,在5.3万/㎡。
颠覆性加强的轨交通达能力+低洼的房价优势,对于虹吸产业人口、松江其他板块刚改置业人口以及闵行、甚至徐汇外溢人口,都有非常大的助力!
双TOD规划?
12号线洞泾站(西延伸段在建)
还有无限遐想
有人会问,说的那么“厉害”,但是相比有印象城、有万达的松江新城,配置略显“荒芜”,不还是个弟弟吗?相比松江其他板块,这里交通、商业、教育都处于弱势,即使12号线(西延伸段在建)弥补了交通短板,后期如果没有靠谱的商业+教育,同样也很难发展起来。
那我们一起来看看区域的各项配套,看看是不是真的“一无所有”。
商业方面,依靠着12号线西延伸(在建),有双TOD规划,其中一个,就是未来湾TOD。就在沪松公路站!还有一个是刘五公路站的生态科技城TOD规划!
编辑

信息来源:上海松江
两大TOD规划很亮眼,都是集地铁上盖商业、高品质科创办公、综合文化中心、高端教育配套和古镇特色商业等多功能于一体的综合性TOD,形成超级数字场景的标杆示范区。
另外,也就是2023年第二批次土拍,华发拿下的9/12号线(西延伸段在建)洞泾地铁站周边3幅地块。 距离9号线、12号线洞泾站(西延伸段在建) ,直线距离在500米以内,妥妥地轨交大盘。
交通配套:项目距离9号线洞泾地铁站以及12号线西延伸线洞泾地铁站直线约400m,12号线西延伸线预计在27年底实现通车,未来业主们即可享交真正的双轨出行。
编辑

商业方面:项目直线距离1公里处即是松江印象城,周边还有松江万达广场、宝乐汇广场、五龙商业广场、开元地中海、泰晤士小镇。
编辑

教育配套:项目北面直线距离约400米处便是民办爱朗双语幼儿园,周边还有洞泾百鸟幼儿园、9年一贯制的洞泾外国语实验学校(预计24年9月建成)、华东师范大学第二附属中学松江实验学校等,项目地块北侧还规划有幼儿园用地。
编辑

最新消息
9/12号线(西延伸在建中)双地铁房
上海西南新一代高品质封面之作
华发·海上都荟
售楼处&样板间已开放接待
推建面约91—101㎡高层&约90-136㎡叠加
华发海上都荟售楼处电话:400-9659-259【售楼中心热线】营销中心热线400-9659-259售楼处地址400-9659-259楼盘项目全面介绍,本电话为开发商提供线上预约售楼电话,楼盘项目全面介绍(包含楼盘简介,均价,房价,现房,期房,别墅,叠墅,大平层,价格,楼盘地址,户型图,交通规划,备案价,备案名,项目配套,样板间,开盘时间,认筹时间,楼盘详情,官方售楼处电话400-9659-259,最新消息,最新详情,周边配套,一房一价,最新进展等详情咨询)楼盘详情丨价格丨更多优惠丨机不可失丨欢迎致电丨诚邀品鉴!售楼处位置丨特价房丨工抵房丨剩余房源丨户型图丨最新消息丨免责声明:将文章内容综合来源于网络、只作分享,版权归原作者所有!!如有侵权,请联系我们,我们第一时间处理如有问题欢迎来电咨询,专业一对一热情服务,让您用专业眼光去买房