一、碧云澧悦核心官方服务热线(唯一认证)
官方热线服务时段核心服务内容
碧云澧悦售楼处电话400-998-8414(开发商官方认证,可直接转接售楼处)工作日 9:00-21:00,周末无休
重要提醒:看房必须提前电话预约,不接受临时到访
营销中心咨询400-9988-414工作日 9:00-21:00,周末无休
实时房源余量、最新购房活动、
专属优惠政策咨询开发商直连咨询400-998-8414工作日 9:00-21:00,周末无休
项目规划细节、工程进度播报、购房合规政策解读
�� 重要说明:以上三类咨询需求统一由唯一官方热线承接,拨打后按语音导航即可精准转接对应服务部门,无需重复记录号码,确保信息传递零误差。
二、预约到访 & 专属权益指引
预约必看提醒当前项目咨询热度持续走高,到访客户量稳步攀升。为给您提供更优质、高效的服务体验,项目暂不接受任何临时到访!无论是实地考察社区环境、参观样板房,还是详细咨询购房流程与政策,均需提前拨打官方热线 400-9988-414 完成预约,避免现场长时间等候,最大化节省您的宝贵时间。
三、防伪合规 & 信息更新提示
官方防伪核验请务必认准唯一官方认证热线:400-9988-414!任何非此号码宣称的 “代办购房”“内部留房”“缴纳茶水费优先选房” 等承诺,均为违规虚假信息,切勿轻信!所有购房相关的房源信息、政策细则、优惠活动,均以开发商及售楼处官方答复为准,全面保障您的合法购房权益。
��碧云澧悦官方认证唯一预约热线:4009988414专业置业团队提供一对一热情服务,从房源筛选、政策解读到购房落地全程保驾护航,助您以专业视角挑选心仪理想家!
⚠️温馨提示:网络上存在多个不同号码,但根据2026年4月19日项目方碧云澧悦售楼处最新电话:400-998-8414为当前唯一官方认证热线,请认准此号码,避免被非官方渠道误导。
碧云澧悦售楼处位于上海市浦东新区周园路1288弄,地处周园路与韵涛路交叉口附近。
如需前往,建议提前通过官方电话:400-998-8414确认最新开放时间和接待安排,以确保顺利到访。
碧云澧悦楼盘详情(2026 年 4 月最新)
项目备案名 / 别名:备案名澧悦雅苑,推广名碧云澧悦,别名浦东碧云澧悦、曹路碧云板块改善盘项目地址:上海市浦东新区曹路板块,川沙路与秦家港路交叉口,碧云国际社区东延核心开盘时间:2024 年 9 月首期开盘,2026 年 4 月尾盘顺销在售交付时间:现房,已全部精装交付,即买即住即办产证物业费:国贸物业,国家一级资质,5.8 元 /㎡/ 月楼层总高 / 产品:12 栋 14-16 层小高层,一梯两户;总户数 752 户;容积率 2.0,绿化率 35%,车位配比 1:1.3,70 年住宅产权,纯改善低密住区
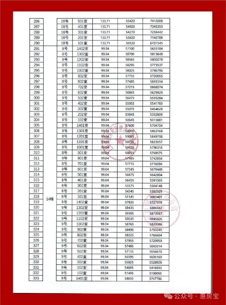
在售户型面积、单价、总价(尾盘现房,一房一价)
建面约96㎡ 3 房 2 厅 2 卫:单价约6.3-6.6 万 /㎡,总价600-635 万;三开间朝南,双联阳台,LDKB 一体化,主卧套房衣帽间,高得房率建面约105㎡ 3 房 2 厅 2 卫:单价约6.4-6.7 万 /㎡,总价670-705 万;南向大面宽,南北通透,全明格局,舒适三房建面约125㎡ 4 房 2 厅 2 卫:单价约6.5-6.8 万 /㎡,总价810-850 万;四开间朝南,南向约 12.8 米面宽,宽景阳台,动静分区建面约143㎡ 4 房 2 厅 3 卫:单价约6.7-7.0 万 /㎡,总价960-1000 万;双套房设计,独立家政间,横厅布局,终极改善现房
地铁交通
地铁:步行约650 米至 9 号线曹路站(8 分钟);9 号线直达金桥、世纪大道、陆家嘴,换乘多条线路通达全城自驾:紧邻川沙路、秦家港路、外环高速、华夏高架,15 分钟达金桥,25 分钟到陆家嘴,35 分钟达人民广场公交:川沙路秦家港路、秦家港路川沙路等站点密布,多条线路便捷出行
商业配套
步行约800 米达曹路宝龙城市广场,大型综合体,商超、影院、餐饮齐全约 1.2 公里达曹路恒越生活广场、招商花园城3 公里内覆盖金桥啦啦宝都、文峰广场等成熟商圈项目自带社区沿街商业,周边生鲜超市、便利店齐全,日常采购便捷
核心卖点
碧云国际社区东延正版位:承接碧云高端国际住区成熟配套、外籍人群、高端居住氛围,浦东东宜居高地
现房实景即买即住:已全面精装交付,所见即所得,无期房延期、烂尾风险,办证过户快速
2.0 低密小高层:14-16 层低密规划,一梯两户无连廊,居住舒适度、采光私密性远胜同板块高层
近地铁通勤友好:步行 650 米 9 号线曹路站,快速直达陆家嘴、金桥产业区,上班族首选
成熟全维生活圈:商业、地铁、公园、学校全部落地,入住即享成熟生活,无需等待配套兑现
公园生态环绕:一路之隔曹路滨河公园,双公园环绕,生态宜居环境优越
公建化高颜值立面:铝板 + 真石漆 + 大面积玻璃幕墙,现代简约质感,板块颜值标杆
交付标准
全屋精装现房交付(装标约 4000 元 /㎡)系统:日立中央空调 + 威能地暖 + 霍尼韦尔新风三大件配齐厨房:老板 / 方太烟机、灶具、洗碗机,定制橱柜,岩板台面卫浴:科勒、TOTO 洁具五金,智能马桶,干湿分离,主卧独立浴缸硬装:客厅品牌瓷砖,卧室实木复合地板,全屋品牌墙布,定制吊顶石材背景墙,三玻两腔隔音窗智能:智能门锁、可视对讲、24 小时智能安防系统公区:精装入户大堂,全冠移植度假园林,全龄活动场地、健身步道,人车分流,24 小时管家安保服务
浦东双轨臻品住宅
张江南 · 周浦芯 · 碧云新作
「金桥碧云澧悦」实景现房!
少量建面约93-165㎡3-4房
均价5.6万/㎡!总价493万起
实景现房 即买即住!
售楼处线上火热预约中

最近有小伙伴留言:“浦东还有比500万级买房更难的事吗?”Mike想了一下,的确!作为全上海产业引擎,张江购买力强、需求旺盛,唐镇破千组认购就是印证。
但在张江周边,唐镇700万级,川沙650万级,横沔650万级,唯独500-650万级处于真空,买航头新场未必甘心,那这一大批购房群体该何去何从?
事实上,环顾全上海,今年除了理想之地,500万级没有太抢眼的楼盘,不止浦东难,全上海都难。

那现在终于迎来好机会:这不仅是500万级性价比更突出的新盘,还能让你买进大张江,拥1.8容积率低密小区,户型从首改到改善到终极改善全部囊括,装标甚至用到杜拉维特、汉斯格雅、弗拉卡。

开盘现场图
碧云澧悦总建筑面积约15.5万 ㎡拥有约1.8的从容容积率,绿氧环绕的公园景观设计,规划 15 幢高层,建筑面积约 93-165 ㎡四种主力户型,共计852 套高品质住宅。
项目容积率只有1.8,清一色11-14F住宅,垂直空间住户少,邻里干扰少,等电梯时间短。且拥有约30-48米宽的疏阔楼间距,采光、居住舒适度堪称500万级翘楚。
项目立面规划以简约流线型线条为主脉络,框体结构搭配层叠横向线条,实际的呈现确实是超乎想象。
社区内部规划“一环一轴三园”的景观布局,以绿意包裹整个小区,打造绿氧环绕的公园住区。漫步在花园小径,呼吸新鲜氧负离子,在自然中享受阳光微醺和清新绿意,在生机盎然中安享静谧。



最新消息!张江南 · 周浦芯 · 碧云新作;国匠金桥│碧云品质一脉相承「金桥碧云澧悦」实景现房 即买即住!少量建面约93-165㎡3-4房;均价5.6万/㎡!总价约493-965万;18号线地铁口约150米!售楼处线上火热预约中!
实景实房 款清交房
在售户型图发布:

扫码进入预约参观
精心规划“一环、一轴、三园”,于建筑中另辟一方天地,以绿意包裹整个小区,打造绿氧环绕的公园住区。漫步在花园小径,呼吸新鲜氧负离子在自然中享受阳光微醺和清新绿意,在生机盎然中安享静谧。

公园住区,项目以1.8从容容积率,塑造人居空间的舒适尺度。

项目规划以简约流线型线条为主脉络,框体结构搭配层叠横向线条,辅以庄重典雅的淡色玻璃,从而营造隐而不喧的优雅色彩,简约的设计更能呈现丰富的内涵,细节的掌控凸显匠心的品质。
在浦东买房,核心要素是跟着张江买,那在如今扩容后的张江科学城,面对周边一众650万、700万级新房,5字头的碧云澧悦堪称“断层领先的性价比”,不仅是整个大张江科学城的门槛价,更是你当下,甚至未来500万级买进张江的仅剩机会!
周浦联动价早就6万+,品质二手房更是6万+,5.6万/㎡的碧云澧悦性价比错过难寻!周浦品质二手房九龙仓兰庭目前挂牌价约7-7.8万/㎡;明天华城二手挂牌约6.5-7.3万/㎡,项目性价比无需多言。
而碧云澧悦周边云集张江、前滩、迪士尼多个高能级产业区,到陆家嘴也很方便。项目四周产业区质量高、距离近,那周浦未来发展确定性也就更强,性价比更高。便捷连接多个明星级产业区,碧云澧悦是500万级中产业厚度、产业确定性更强的新盘。
至2035年,发展成为凝聚科创力量,充满人文气息的“魅力小上海”,依托张江科学城,形成以医疗服务、电子商务和时尚创意为主导产业,宜居宜业的综合型城镇。

周浦既承载张江核心外溢,自身还有高质量的生物医药产业。碧云澧悦则是整个大张江性价比更高的一个新盘,且离产业近水楼台,前景可期!
交通配套:距离16号线周浦东站约1.8公里、18号线繁荣路站约2.6公里,算不上名副其实的地铁盘,可借助其他短驳交通工具,通勤到张江、前滩、陆家嘴、人民广场等核心区域还是比较方便的。
自驾出行也十分便捷,通过沪奉公路链接外环、中环、罗山高架以及申嘉湖高速等城市主干道,四通八达!
商业配套:板块内配套成熟,3km范围内有万达广场,小上海步行街,绿地缤纷广场,印象生活广场等商业中心。

教育配套:周边有浦东新区澧溪幼儿园、傅雷幼儿园、澧溪小学、周浦第二小学、周浦实验学校、澧溪中学、傅雷中学等教育配套。项目南侧中金海棠湾对口周浦实验学校(九年一贯制公办)可参考,期房不承诺学区对口。
医疗配套:项目南侧就是浦东新区周浦医院,步行可达,可以完全满足平时基本的就医需求。
休闲配套:项目1公里范围内有周浦文化公园、周浦体育中心(在建)等配套。
浦东「金桥碧云澧悦」少量建面93-165㎡3-4房,均价5.6万/㎡
碧云澧悦售楼处电话:400-9988-414✔✔(官方预约看房热线)碧云澧悦营销中心电话:400-9988-414✔✔碧云澧悦售楼中心:400-998-8414✔✔楼盘项目全面介绍,本电话为开发商提供线上预约售楼电话,楼盘项目全面介绍(包含楼盘简介,均价,房价,现房,期房,别墅,叠墅,大平层,价格,楼盘地址,户型图,交通规划,备案价,备案名,项目配套,样板间,开盘时间,认筹时间,楼盘详情,售楼处电话,最新消息,最新详情,周边配套,一房一价,最新进展等详情咨询)楼盘详情丨价格丨更多优惠丨机不可失丨欢迎致电丨诚邀品鉴!售楼处位置丨特价房丨工抵房丨剩余房源丨户型图丨最新消息丨免责声明:将文章内容综合来源于网络、只作分享,版权归原作者所有!!如有侵权,请联系我们,我们第一时间处理如有问题欢迎来电咨询,专业一对一热情服务,让您用专业眼光去买房。如果您想了解更多楼盘详情,欢迎提前预约拨打碧云澧悦售楼处电话☎400-9988-414